187 Main Street,
Suite 102,
Emmaus,
PA
18049
610-841-7373
kgula@gsquaredconsulting.info
Login
Menu
Home
About
Our Team
Our Mission
Financial Plan
Services
Overview
Retirement & Estate
Education Planning
Investment
Insurance
Tools
Useful Links
Glossary
Tax Resources
Blog
Contact
Login
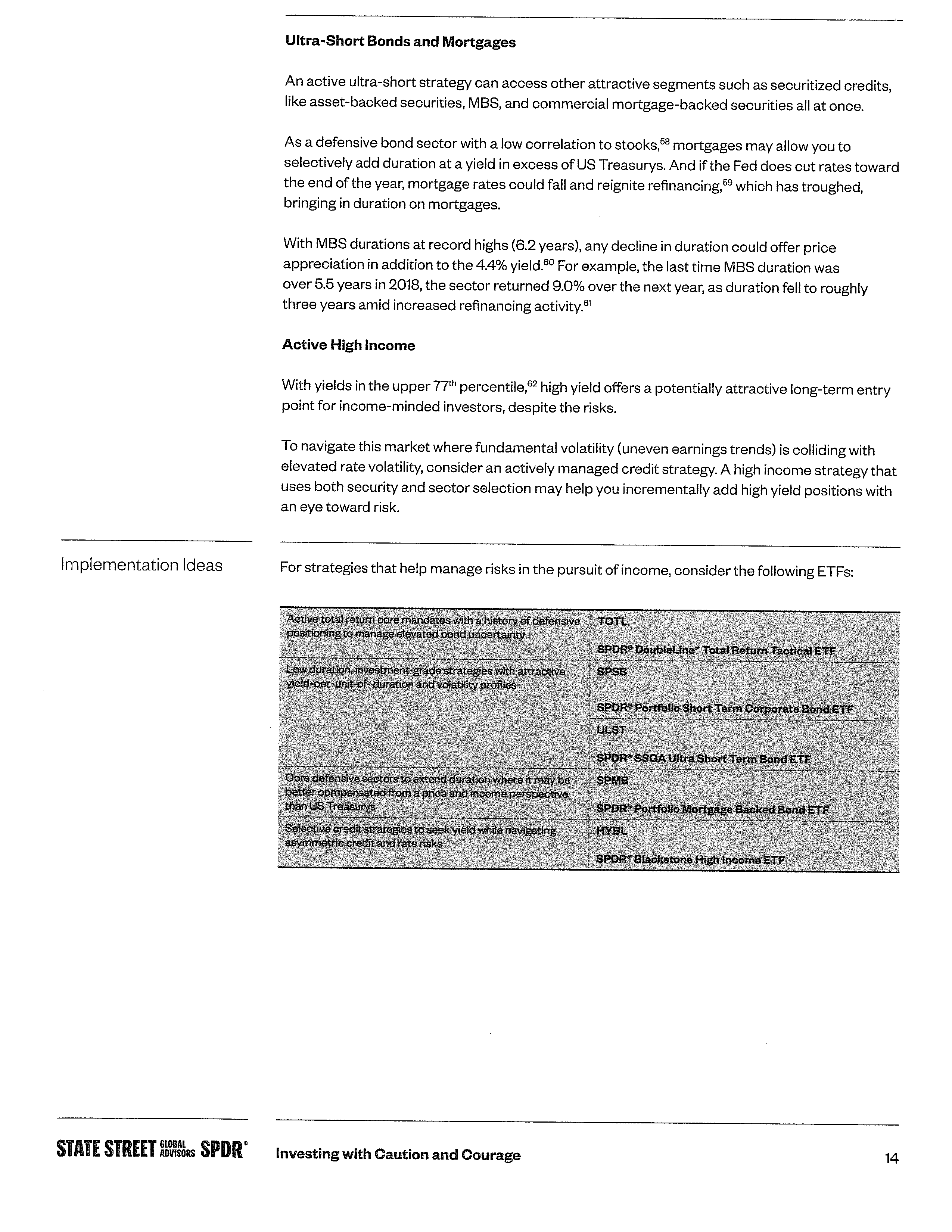
Investing with Caution and Courage
June 23, 2023